
par Frédéric Gobert.
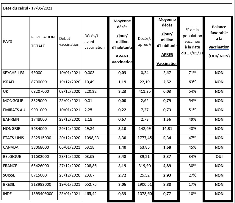
Dans tous les pays suivants : SEYCHELLES, ISRAËL, UK, MONGOLIE, ÉMIRATS AU, BAHREÏN, HONGRIE, États-Unis, CANADA, France, SUISSE, BRÉSIL, INDE, on meurt tous les jours en moyenne davantage depuis que la vaccination a commencé.
Ainsi, à la date du 17/05/21, au Brésil (17% de la population ayant reçu au moins une dose), la mortalité moyenne quotidienne est multipliée par TROIS ; en Hongrie par CINQ (48% de la population ayant reçu au moins une dose) ; en France par plus de 1,5 (30% de la population ayant reçu au moins une dose)...
Auteurs : Gabriel Faugloire et Frédéric Gobert

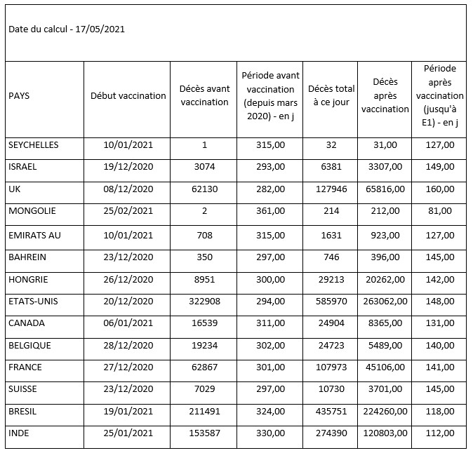
Lecture de ce tableau avec l'exemple d'Israël : du 1er mars 2020 au 19/12/2020 (début de la campagne de vaccination en ISRAËL), soit durant 293 jours, la mortalité moyenne quotidienne est de 1,19 décès par million d'habitants. Du 19/12/2020 au 17/05/2021, soit 149 jours, la mortalité moyenne quotidienne est de 2,52 décès par million d'habitant, soit plus de deux fois supérieur.
Comment les chiffres ci-dessus ont-ils été calculés ?
Toutes les données sont issues du site « ourworldindata » et arrêtées à la date du 17/05/21 ; les 14 pays ont été choisis de telle sorte qu'il y ait un maximum d'hétérogénéité, à la fois au niveau des caractéristiques intrinsèques mais aussi du taux de vaccination de chaque pays. L'idée initiale était de confirmer des informations transmises par Jean-Jacques Crèvecœur à plus petite échelle. Ils montrent en effet que la mortalité moyenne quotidienne COVID-19 a augmenté dans presque tous les pays étudiés depuis le début des campagnes de vaccination ; seule la Belgique fait exception.
Même si le lien direct avec la vaccination semble un raccourci rapide, on peut honnêtement se demander ce qui pourrait l'expliquer autrement... Il faudrait connaître, pour le confirmer ou l'infirmer, le nombre de personnes décédées COVID ayant été vaccinées. En attendant, on constate que le cas des Seychelles et de la Mongolie est énorme (respectivement 1 et 2 décès avant, 31 et 212 après !), celui du Brésil est impressionnant et celui de la Hongrie est tout simplement ahurissant. On voit aussi que l'Inde, dont les médias ont fait de la dernière épidémie une catastrophe, détient des taux de décès bien inférieurs aux nôtres (il faut dire que de nombreux états utilisent depuis longtemps l'Ivermectine !).

Ci-dessus le graphe correspondant, plus visuel : il représente les moyennes de décès/jour/million d'habitants avant (bâtonnet bleu) et après vaccination (bâtonnet orange), trié de gauche à droite du pays qui a le % de population vaccinée le plus fort (Les Seychelles) au moins fort (l'Inde). Le % de population vaccinée (courbe grise) se lit sur l'échelle de droite ; la moyenne de décès quotidienne (bâtonnets bleu et orange) sur l'échelle de gauche.
Le rôle des « grands » médias et de la plupart des sites de « factchecking » doit encore et toujours être interrogé ; leur responsabilité dans les mensonges et les inepties qui circulent et que la population prend pour vraies est énorme : la plus grande gravité de la mortalité due au covid en Inde par rapport à la France : mensonge ; la gravité exceptionnelle de l'épidémie de covid : mensonge ; l'innocuité des « vaccins » ou le meilleur rapport « bénéfices/risques » : mensonge ; l'intérêt vital du port du masque en extérieur : mensonge ; le caractère démocratique et respectueux des libertés du pass sanitaire : mensonge ; l'affirmation selon laquelle la prévention contre le covid est inutile : mensonge ; l'affirmation qu'il n'existe aucun traitement contre le covid : mensonge ; l'affirmation que le « vaccin » est l'unique solution : mensonge ; la non-remise en cause systématique des inepties de la politique « sanitaire » du gouvernement : on oscille entre l'aveuglement dû à la peur, la psychose collective, la compromission et la lâcheté ; etc. Mais toujours, depuis mars 2020, le prix de la faillite des médias dominants se paie en vies humaines.
La largeur de la page ne permettant pas de proposer un tableau comprenant de nombreuses colonnes, il a été scindé en deux. Voici les autres données permettant de comprendre les chiffres proposés dans le premier tableau, situé au début de l'article.

source : agoravox.fr